1級土木過去問

1級土木・令和7年・問題ANo.1~No.5

【No. 1】

下図の土の構成を表した模式図の記号を用いて,湿潤密度ρtと間隙率nを求める式の次の組合せのうち,適当なものはどれか。

(1)湿潤密度ρt=(m/V)、間隙率(Vv/V)×100

(2)湿潤密度ρt=(mw/V)、間隙率(Vw/Vv)×100

(3)湿潤密度ρt=(m/V)、間隙率(Vw/Vv)×100

(4)湿潤密度ρt=(mw/V)、間隙率(Vv/V)×100

 

【No. 2】

下図のコンシステンシー限界に関する下記の文章中の[ ]の(イ),(ロ),(ハ)に当てはまる語句の次の組合せのうち,適当なものはどれか。

コンシステンシー限界と土の状態との関係

 

・土が塑性体から液体に移るときの境界の含水比を,(イ)という。
・土が塑性体から半固体状に移るときの境界の含水比を,(ロ)という。
・この含水比を,ある量以下に減じてもその体積が減少しない状態の含水比を,収縮限界という。
・(イ)と(ロ)の含水比の幅を,(ハ)という。

 

(イ)   (ロ)   (ハ)

(1)液性限界  塑性限界  液性指数
(2)液性限界  塑性限界  液性指数
(3)液性限界  塑性限界  塑性指数
(4)塑性限界  液性限界  塑性指数

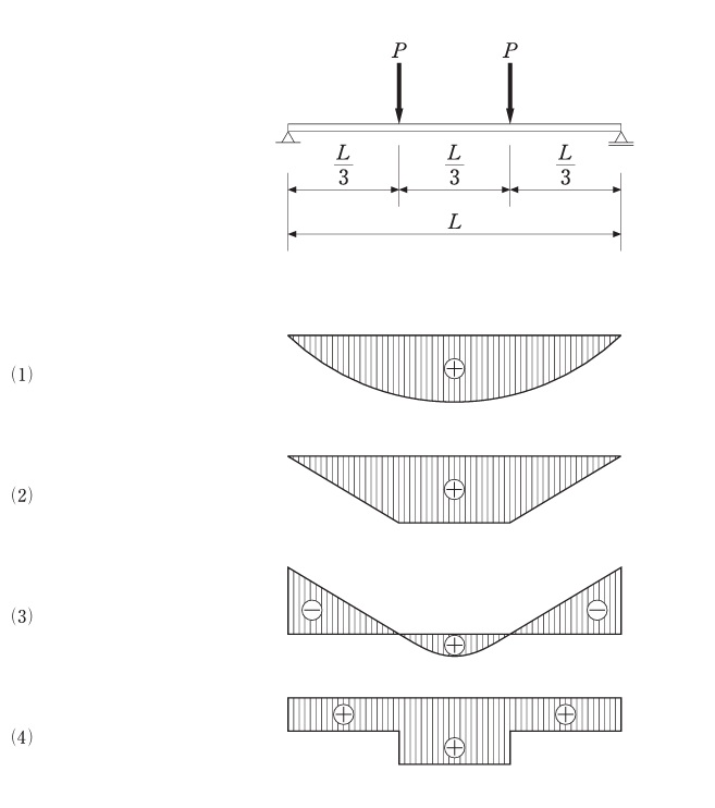
No.3

下図の単純梁に集中荷重Pが作用した場合の曲げモーメント図として,適当なものは次の図のうちどれか。

ただし,梁の自重は考慮しないものとする。

No.4

下図は引張力と引張応力との関係を表しているが,(ア)のように直径Dの部材の両端に軸に沿って離れ合う向きの一対の外力Pが作用しているとき,(イ)のように部材の軸に沿って引張力が生じることとなる。

この場合(ウ)のように断面に生じる,引張応力σtを表す次の式のうち,正しいものはどれか。

 

(1)σt=4P/πD

(2)σt=P/πD

(3)σt=4P/πD²

(4)σt=P/πD²

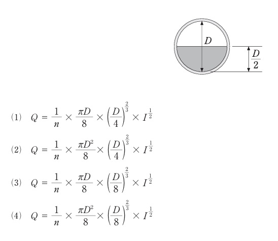
No.5

下図の内径Dの管路内を水深D/2で流れる流量Qを求める次の式のうち,適当なものはどれか。

ただし,nは粗度係数,Iは動水勾配を表す。

 

前の問題を見直す?/次の問題へ進む?

 

TOPページに戻る

-1級土木過去問

error: このコンテンツのコピーは禁止されています